合作客户/
拜耳公司 |
同济大学 |
联合大学 |
美国保洁 |
美国强生 |
瑞士罗氏 |
相关新闻Info
探索泡沫粗化与表面流变学之间的关联性疏水性蛋白——材料和方法
来源:上海香蕉视频播放器 浏览 719 次 发布时间:2021-11-25
材料和方法
材料
HFBII疏水蛋白(Mw=7200 Da)从芬兰VTT生物技术公司获得,并如其他地方所述从里氏木霉中提取。28,29含有20 mM醋酸缓冲液的5 mg ml 1 HFBII溶液在小瓶中冷冻。 在实验前不久,将小瓶内容物解冻,用微孔水稀释5*并进行短暂的超声波处理,以打破可使样品浑浊的自组装结构。
纯b-lg和b-酪蛋白购自Sigma chemicals(德国施奈尔多夫)。 Quillaja皂甙粉末来自沙漠之王(智利圣地亚哥)。 黄原胶(冷分散Keltrol RD)购自CP Kelco(比利时贝林根)。
方法
泡沫制备和稳定性评估。 通过向50 g脱气水中添加所需量的材料制备发泡剂溶液。 另外,以类似方式制备0.5 wt%黄原胶溶液,该溶液不含溶解过程中形成的气泡。 将溶液在20℃下轻轻混合30分钟。 随后,使用手持式Aero latte微型混合器(英国Radlett)对发泡剂溶液进行充气,该混合器连接至4.5 V的恒定电源。获得约200 ml的恒定端体积,形成约0.75的气相体积。 制备完成后,将该相对干燥的泡沫与黄原胶溶液轻轻混合,以将气相体积调节至0.5。 在该相体积分数下,气泡体积低于紧密堆积30,从而将聚结的可能性降至最低。 最后,黄原胶引起的体积屈服应力可防止气泡在与此处提供的实验相关的时间内形成奶油状。31通过抑制奶油状和聚结,可使用浊度测量来测量歧化率。
随时间变化的气泡尺寸演变。 使用浊度扫描实验室专家(法国图卢兹Formulaction)及时通过浊度法研究20 ml泡沫的样品体积。 香蕉视频播放器解释了沿泡沫样品高度的平均后向散射,不包括顶部和底部部分,其中后向散射受边缘效应影响。 后向散射(BS)与穿过样品的光的传输平均自由程(l)有关
反过来,光的传输平均自由程与穿过的气泡的平均直径(d)和体积分数(F)有关
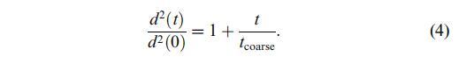
其中g和Q是Mie理论给出的光学常数。 在本研究中,香蕉视频播放器将仅限于解释平均气泡直径随时间的变化,其表示为相对直径d(t)/d(0)。 粗化时间tcoarse由该模型确定
用朗缪尔槽测量小变形和大变形膨胀流变学。 对于空气/水表面的表面膨胀流变学实验,香蕉视频播放器使用了Kibron公司(芬兰埃斯波)生产的MicroTroughX Langmuir槽。 槽的表面积为11×800平方毫米,其亚相体积约为15 mL。使用超灵敏的KiBron传感器、小直径(0.51 mm)的特殊合金丝在槽的中部测量表面张力。 灵敏度优于0.01mnm-1。
通过使用10 ml Hamilton注射器沿表面逐滴均匀分布所需量的溶液来制备铺展层。 压缩前,将该层保持平衡15分钟。 随后,以5 mm min 1的屏障速度将表面压缩至30 mN min 1的表面压力或2000 mm2的最小面积,然后以相同速度将其松弛,恢复至约零压力。 温度为20℃。
使用内部开发的软件工具计算膨胀模量。 该工具首先通过使用N阶切比雪夫多项式对测量的P–A曲线进行分割和平滑来减少数据和噪声。 然后使用解析样条导数表达式数值计算模量,使香蕉视频播放器能够计算沿实验P–A曲线的任意点处的膨胀模量。
使用椭偏仪测量表面吸附。 使用Multiskop椭偏仪装置(Multiskop,Optrel,德国)对朗缪尔槽中的吸附层进行表征。 该仪器的全部细节可在别处找到。32
椭偏仪是一种研究表面和薄膜的技术,其基础是利用偏振光束从界面或薄膜反射或透射时发生的偏振变换。33在椭偏仪中,测量两个量J和D, 式中,J是角,其切线是全反射系数大小的比率,由下式给出:

其中| Rp |和| Rs |是p(平行)和s(垂直)偏振光的出射波振幅与入射波振幅之比。 j的值可以在0到90°之间。 有关所讨论样品的信息包含在全反射系数或Rp和Rs中。椭偏角 ∆ 描述反射时发生的相位差变化。 其值可以在零和360°之间变化。
椭偏测量的基本方程是
式中ρ=Rp/Rs。现在可以使用de Feijter方程34确定吸附量

式中,nf是薄膜折射率,n0是介质折射率,dn/dc是折射率增量,df是薄膜厚度,由适当的D/J轨迹导出。 在分析中,香蕉视频播放器使用了nf=1.4和dn/dc=0.18 ml g 1,这在之前用于b-lg.35
表面剪切流变学(SSR)测量。 使用Anton Paar Physica MCR 300流变仪测定空气-水表面的界面剪切刚度,该流变仪配备双锥几何结构,精确放置在空气和蛋白质或表面活性剂溶液之间的界面。36吸附系统老化1小时后, 在0.001至1 Hz的频率范围内,在0.2%的应变下施加振荡剪切变形。
探索泡沫粗化与表面流变学之间的关联性疏水性蛋白——摘要、介绍
探索泡沫粗化与表面流变学之间的关联性疏水性蛋白——材料和方法
探索泡沫粗化与表面流变学之间的关联性疏水性蛋白——结果和讨论
探索泡沫粗化与表面流变学之间的关联性疏水性蛋白——结论、致谢!





